09.循环控制语句
发表时间:2026-01-16 22:33:09    作者:孙自超

循环控制语句有两个,continuebreak。一个是跳过本次循环操作,继续下一次循环;一个是终止当前整个循环操作。

作用

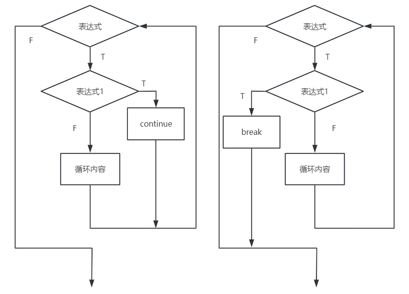
continuebreak语句适用所有循环语句。通过流程图了解它们的执行区别。


示例

continuebreak在循环语句中通常要结合分支语句一起使用。我们通过完整程序示例了解它们的用法。

for i in range(0,5): if(i==2): continue print(i) for i in range(0,5): if(i==2): break print(i)

两个循环都是执行了5次,它们的输出有什么区别呢?

0 1 3 4 0 1
#include<bits/stdc++.h> using namespace std; int main() { for(int i=0;i<5;i++){ if(i==2): continue; cout<<i<<endl; } for(int i=0;i<5;i++){ if(i==2): break; cout<<i<<endl; } return 0; } 0 1 3 4 0 1

continue和break只对它们所在的循环语句起作用。


练习

1.设计一个程序,从小到大依次输出[10,50]范围的整数,遇到能被3整除的数就不输出。

2.设计一个程序,从小到大依次输出[10,50]范围的整数,遇到能被3整除的数就终止程序。


@程序设计
Copyright © 2008-2026 by Sun zi chao - Website Content All Rights Reserved.  [第六版]
桂ICP备11003301号 桂公网安备45040302000027号运行:92天访问量:6721